Niveau : Terminale
Chapitres : Intégrales
Inédit, publié le 24/03/2022

Grand rival du Coca-Cola depuis la fin du XIXème siècle, le Pepsi a ses fans et ses détracteurs. Haro à ceux qui diraient que « c’est la même chose », car il y a une différence vraiment perceptible qui fait que certains penchent pour l’un plutôt que pour l’autre. L’éternel débat pour savoir lequel est le meilleur ne sera pas tranché ici : nous irons simplement, pour ce problème, nous intéresser au logo de Pepsi, tout aussi reconnaissable que celui du rival.
Le logo de Pepsi se compose de 3 zones à l’intérieur d’un cercle: rouge au-dessus, bleu en dessous et blanc entre les deux. L’objectif de ce problème va être de donner une approximation de la proportion d’aire prise par chacune de ces 3 couleurs à l’intérieur de ce cercle.
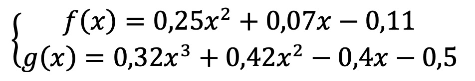
Pour cela, on considère le logo de Pepsi tel que le cercle soit de rayon 1. On place ce logo en situant le centre du cercle exactement à l’origine d’un repère orthonormé (O, i, j), et en faisant tourner le logo dans le sens des aiguilles d’une montre. En effectuant cette rotation, on se retrouve dans une situation où on peut alors admettre, même si c’est très légèrement incorrect, que la zone blanche se retrouve située entre les courbes représentatives de deux fonctions f et g définies sur [-1,1] par :

On peut voir la représentation de la situation en Annexe.
Toutes les aires calculées dans ce problème sont en unités (il ne sera pas nécessaire de rajouter une notation après les valeurs trouvées).
1) a) Étudier les variations de la fonction g sur [-1,1].
b) En déduire que g(x) ≤ 0.
c) Calculer l’aire située entre l’axe des abscisses et la courbe représentative de g.
d) On admet que l’aire la zone bleue est quasiment égale à la différence entre l’aire du demi-disque inférieur du logo (ici sous l’axe des abscisses) et l’aire calculée en 1.c). En déduire l’aire de la zone bleue.
2) Soit la fonction h définie par h(x) = f(x) – g(x) sur [-1,1].
a) Étudier les variations de la fonction h sur [-1,1].
b) En déduire que h(x) > 0 sur cet intervalle.
c) Calculer alors l’aire de la zone blanche.
3) Déduire des questions 1) et 2) l’aire de la zone rouge.
4) Conclure en écrivant en % les proportions relatives de chaque zone par rapport à l’aire totale du disque (arrondir à l’unité).
Annexe
