Niveau : Terminale
Chapitres : Loi binomiale, Somme de variables aléatoires, Loi des grands nombres
Inédit, publié le 12/09/2021
Un monde où une application est capable de révéler le nombre de personnes amoureuses de vous dans un rayon de 10 mètres : telle est la trame principale de « Love Alarm », une série romantique coréenne, adaptée d’un manga numérique, et qui a connu un certain succès auprès des jeunes publics. Dans ce monde dystopique, on suit le triangle amoureux dans lequel tombe la lycéenne Kim Jojo – interprétée par l’actrice Kim So-Hyun.
Dans tout le premier épisode de la première saison, alors qu’on commence à peine à prendre connaissance des personnages, on voit Kim Jojo en train de travailler sur plusieurs exercices de probabilités. Le film permet même d’entrapercevoir le cahier de Kim Jojo (voir Image 1 – on remarquera que certaines notations ne sont pas celles apprises en France).

Remarque : l’Image 1 n’est pas peut-être pas très lisible: ce n’est pas fondamental pour répondre aux questions ci-dessous, qui réexpliquent ce qui est écrit, en traduisant notamment certaines notations en notations habituelles.
Les 4 questions suivantes, qui se réfèrent à ce qui est écrit par Kim Jojo sur son cahier, sont indépendantes. La variable aléatoire X est différente dans chaque question.
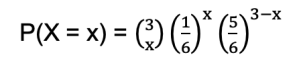
1) On lit d’abord en haut du cahier:

a) Donner sans justifier la nature et les paramètres de la loi suivie par X.
b) Compléter avec des valeurs la loi de probabilité de X (arrondir au millième près).
2) On lit ensuite sur le cahier :

a) Donner sans justifier la nature et les paramètres de la loi suivie par X.
b) Calculer P(X<2) et P(X=0).
3) Sur les avant-dernières lignes du cahier de Kim Jojo, apparaissent les éléments suivants :

Proposer une situation d’expérience aléatoire réelle dont l’espérance et l’écart-type sont ceux calculés par Kim Jojo.
4) Enfin, sur la dernière ligne visible du cahier, on devine:

a) Proposer une expérience aléatoire répétée de manière identique et indépendante dans laquelle cette inéquation a une signification, qu’on explicitera.
b) Proposer alors une minoration de P (|X/n – 1/6| < 0,1) pour n = 1 000.
Traduire cette minoration par rapport à l’expérience aléatoire proposée.